728x90
반응형
SMALL
Use of AR Models to Estimate Spectra
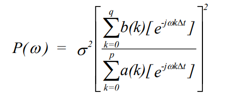
시계열에 대한 ARMA 모델을 설명하는 매개변수 세트가 주어지면 시계열의 전력 스펙트럼은 다음과 같이 추정할 수 있다.

여기서 P(α)는 주파수 α에서의 전력 스펙트럼 추정치, a(k)와 b(k)는 ARMA 모델에 정의된 자기 회귀 계수, δt는 샘플링 간격, δ2는 백색 소음 입력의 분산이다.
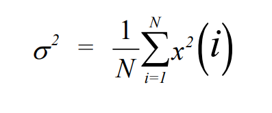
백색 노이즈 입력의 분산은 다음과 같이 추정된다.

이 가정에서는 시계열 분산이 충분히 큰 N에 대해 노이즈 분산에 접근한다.
728x90
반응형
LIST
'Signal Processing' 카테고리의 다른 글
| [Signal Processing] 이동 평균 필터 (Moving average filter) (0) | 2023.07.06 |
|---|---|
| Wavelet 변환 (0) | 2022.04.19 |
| AR Model Order Estimation (0) | 2022.04.13 |
| Estimating the Coefficient of the AR Model (0) | 2022.04.13 |
| AR (Autoregressive) Burg Method (0) | 2022.04.13 |