728x90
반응형
SMALL
AR Model Order Estimation
모델 순서 추정 절차는 모형이 데이터를 적합시킬 경우 예측 오차가 작다는 생각에 기초한다. 그러나 예측 오차는 순서가 증가함에 따라 단조롭게 감소한다. 따라서 예측 오차는 최소값이 p인 함수를 생성하도록 설계된 요인에 의해 가중치가 부여된다.
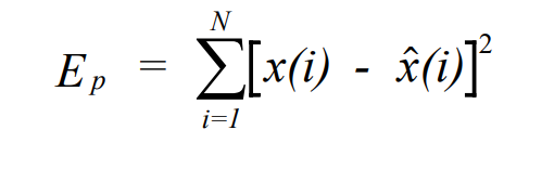
이 방법들은 제곱 예측 오차인 Ep의 합을 사용한다.

Ep는 잔여 (residual) 분산과 같다.
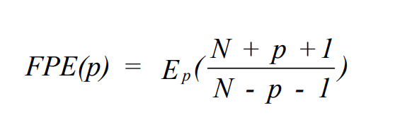
최종 예측이라고 불리는 한 척도는 오류 (FPE) 기준은 다음과 같다.

여기서 p는 모형 순서이고 N은 표본 (관측치)의 수이다.
Akaike 정보 기준 (AIC)이 더 일반적으로 사용된다. 다음과 같이 정의된다.

728x90
반응형
LIST
'Signal Processing' 카테고리의 다른 글
| Wavelet 변환 (0) | 2022.04.19 |
|---|---|
| Use of AR Models to Estimate Spectra (0) | 2022.04.13 |
| Estimating the Coefficient of the AR Model (0) | 2022.04.13 |
| AR (Autoregressive) Burg Method (0) | 2022.04.13 |
| 스펙트로그램 (Spectrogram) (0) | 2022.04.12 |