728x90
반응형
SMALL
AR Burg Method
선형 모델링의 기본 insight는 관측된 시계열 데이터를 필터의 출력으로 처리하는 것이다. 이 모델은 시계열 데이터 생성의 기초가 되는 공정이 백색 노이즈를 필터링한다는 가정을 기반으로 한다. 시계열을 0 평균과 분산 ≤ 2의 백색 소음 입력에 대한 필터 연산 n(k)에서 발생하는 샘플 x(k) 집합으로 이산 형태로 표현한다.
백색소음은 정의상 평탄한 전력 스펙트럼을 가지고 있다. 목적은 관측된 시계열 데이터와 동일한 전력 스펙트럼 특성을 가진 신호로 백색 소음 입력을 형상화하는 필터를 설계하는 것이다.
위상 스펙트럼을 무시함으로써, 필터 출력은 데이터와 동일하다는 보장은 없지만, 필터 출력의 전력 스펙트럼은 데이터의 출력과 동일할 것이다.
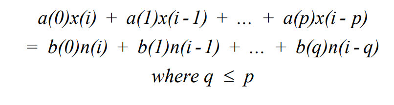
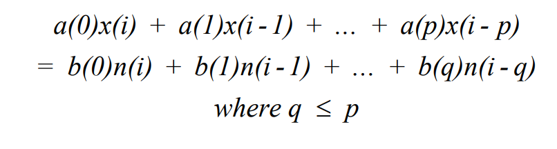
필터는 선형 디지털 필터이며, 다음과 같은 선형미분방정식을 사용한다.


이 방정식은 자동 회귀(AR) 모형을 나타냅니다. x(i)가 과거 값으로 회귀하기 때문에 자기 회귀이다. 다시 말해서, x(i)는 x의 과거 값에 대한 선형 외삽 (또는 예측)으로 볼 수 있다.
728x90
반응형
LIST
'Signal Processing' 카테고리의 다른 글
| AR Model Order Estimation (0) | 2022.04.13 |
|---|---|
| Estimating the Coefficient of the AR Model (0) | 2022.04.13 |
| 스펙트로그램 (Spectrogram) (0) | 2022.04.12 |
| ICA (Independent components analysis) (0) | 2022.04.11 |
| 샘플링 레이트 (Sampling Rate) (0) | 2022.04.06 |