Basic Continuous-Time Signals

1. The Unit Step Function

단위 단계 함수는 다음과 같이 정의된다.

u(t)는 t = 0에서 불연속적이다.
2. The Unit Impulse Function

델타 함수라고도 하는 디랙 델타 함수라고도 하는 단위 임펄스 함수는 다음과 같이 정의된다.

그림 (b)의 델타 함수는 그림 (a)와 같이 직사각형 펄스의 극한으로 발전할 수 있다.

너비 Δ가 0에서 직사각형 함수는 t = 0에서 무한 높이의 임펄스 함수 δ(t)로 수렴하고 전체 면적은 1로 일정하게 유지된다.
|
3. The Ramp Function

램프 함수는 다음과 같이 정의된다.


4. The Rectangular Pulse Function

연속 시간 직사각형 펄스 함수는 다음과 같이 정의된다.

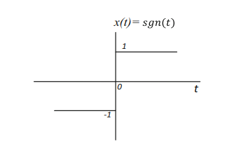
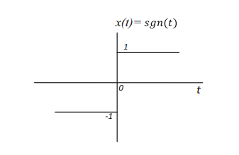
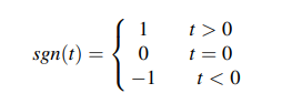
5. The Signum Function

sign 함수라고도 하는 signum 함수는 다음과 같이 정의된다.

6. The Real Exponential Function

실수 지수 함수는 다음과 같이 정의된다.

여기서 A와 σ는 모두 실수이다. σ가 양수이면 x(t)는 증가하는 지수 신호이다. 신호 x(t)는 음의 σ에 대해 기하급수적으로 감소한다. σ = 0의 경우 신호 x(t)는 상수와 같다. 지수적으로 감쇠하는 신호와 지수적으로 증가하는 신호는 각각 그림 (a)와 (b)에 나와 있다.
7. The Complex Exponential Function



실수 사인 함수와 실수 코사인 함수는 삼각법 항등식으로 다음과 같이 표현될 수 있다.

8. The Sinc Function


'Signal Processing' 카테고리의 다른 글
| 02. Continuous-Time Signals and Systems (1) (0) | 2022.03.11 |
|---|---|
| 01. Introduction (MATLAB) (0) | 2022.03.11 |
| 01. Introduction (3) (0) | 2022.03.11 |
| 01. Introduction (1) (0) | 2022.03.10 |
| 신호 및 시스템 (Signals and Systems) (0) | 2022.03.10 |