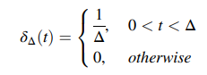
Continuous-Time Signals and Systems
연속 시간 시스템의 시간 영역 분석이 필요하다. 그것은 임펄스의 관점에서 신호의 표현을 개발한다. 선형성, 시간 불변성, 인과성, 안정성, 기억 가능성 및 가역성의 개념을 설명한다. 선형 시불변 (LTI) 연속 시스템에 대한 입력-출력 관계는 컨볼루션 적분으로 설명된다. LTI 연속 시스템의 미분 방정식 표현과 미분 방정식의 고전적인 솔루션도 있다. 다음으로 LTI 연속 시간 시스템의 블록 다이어그램 표현이 도입된다. 마지막으로 연속 시간 LTI 시스템의 상태 공간 표현에 대해 설명한다.
The Representation of Signals in Terms of Impulses

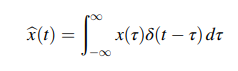
연속 시간 신호 x(t)에 대한 펄스 또는 계단식 근사 x(t)를 하면 근사 신호는 이러한 모든 펄스 신호의 합으로 표현될 수 있다.





따라서 연속 시간 신호는 이동된 임펄스의 가중 중첩으로 나타낼 수 있다. 여기서 중첩은 연속 시간 입력의 특성으로 인한 적분이다. 임펄스 δ(t-τ)에 대한 가중치 x(τ)dτ는 각 임펄스가 발생했을 때의 입력 신호 x(t)의 값으로부터 결정된다.
Continuous-Time Systems
1. Linear Systems
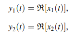
x1(t) 및 x2(t)가 변환 연산자 ℜ[]로 특성화되는 시스템에 적용된 입력이고 y1(t) 및 y2(t)가 시스템 출력이라고 가정하면, 선형 시스템은 균질성과 중첩의 원칙을 충족해야 한다. 따라서 다음 방정식은 선형 시스템에 대해 성립한다.


여기서 a 및 b는 임의의 상수이다.
2. Time-Invariant System
시스템의 동작과 특성이 시간이 지남에 따라 고정되면 시스템은 시간 불변이다. 시스템은 입력 신호의 시간 이동이 출력 신호의 동일한 시간 이동을 초래하는 경우 시간 불변이다. 예를 들어, 시불변 시스템은 x(t-t0)가 입력일 때 출력으로 y(t-t0)를 생성해야 한다. 수학적으로 다음과 같이 지정할 수 있다.

3. Causal System
인과 체계는 현재 및 과거 입력에만 의존하여 출력을 생성한다. 인과관계 시스템은 비예측적이다.
4. Stable System
시스템이 제한된 입력에 대해 제한된 출력을 생성할 때 시스템을 제한된 입력 및 제한된 출력 안정이라고 한다. 신호가 제한되어 있으면 그 크기는 항상 유한하다.
5. Memory and Memoryless System
지정된 시간에 메모리 시스템의 출력은 지정된 시간과 다른 시간의 입력에 따라 달라진다. 이러한 시스템에는 메모리 또는 에너지 저장 요소가 있다. 시스템의 출력이 현재 입력에만 의존하는 경우 시스템은 정적이거나 메모리가 없다고 한다.
6. Invertible System
입력이 출력에서 복구될 수 있는 경우 시스템을 가역적이라고 한다. 그렇지 않으면 시스템은 비가역 시스템이다.
7. Step and Impulse Responses
시스템에 대한 입력이 단위 임펄스 입력 δ(t)인 경우 시스템 출력은 임펄스 응답이라고 하며 h(t)로 표시한다.

시스템에 대한 입력이 단위 단계 입력 u(t)인 경우 시스템 출력을 단계 응답 s(t)라고 한다.

'Signal Processing' 카테고리의 다른 글
| 디지털 신호 처리 (Digital signal processing ; DSP) (0) | 2022.03.14 | 
|---|---|
| 신호 처리 (Signal Processing) (0) | 2022.03.14 | 
| 01. Introduction (MATLAB) (0) | 2022.03.11 | 
| 01. Introduction (3) (0) | 2022.03.11 | 
| 01. Introduction (2) (0) | 2022.03.11 | 
 
										
									 
										
									 
										
									