Frequency domain features
HRV의 주파수 영역 특징은 ANS의 활동을 반영하는 중요한 지표였다. LF (0.04~ 0.15Hz) 및 HF (0.15~ 0.4Hz) 대역의 파워는 각각 교감신경 (SNS) 및 부교감신경 (PNS) 신경계의 조절과 관련이 있다. 일부 문헌은 또한 중간 주파수 (MF, 0.1–0.15Hz) 전력이 압력 반사 활동과 관련이 있음을 보여 주었다. HRV의 스펙트럼 정보를 최대한 활용하기 위해 본 연구에서는 LF를 실제 LF (TLF, 0.04–0.1Hz)와 MF로 더 나누었다. 연구에서 총 주파수 (TF)로 표시된 LF와 HF의 조합도 조사되었다. 그리고 보다 포괄적인 측정, 즉 스펙트럼 전력, 평균 주파수 및상이한 스펙트럼 대역에 상응하는 스펙트럼 엔트로피가 결정되었다. 또한, 매우 낮은 주파수 (0.0033–0.04Hz, VLF)에 반영된 HF 및 프랙탈 차원의 피크도 논의되었다.

RR 간격은 3차 spline 함수로 4Hz의 샘플링 주파수에서 보간되었다. 그런 다음 자동 회귀 모델을 사용하여 RR의 파워 스펙트럼 밀도 (PSD)를 추정했다.
Spectrum power
전체 스펙트럼 전력 변동으로 인해 스펙트럼 전력의 절대값을 평가하는 것은 거의 중요하지 않다. LFn , MFn , TLFn 및 HFn을 포함하는 스펙트럼 구성요소 LF/HF , MF/LF 및 TLF/LF (서로 다른 주파수 대역 내 전력 비율)의 상대적 또는 정규화된 값만 계산되었다.
Mean frequency
주파수 f1, f2, ⋯, fN 에서 에너지가 P1, P2, ⋯, PN인 전력 스펙트럼 섹션의 경우 평균 주파수는 다음과 같이 정의된다.

특정 요인의 평균 변조 (modulation)를 반영할 수 있다. VLF를 제외한 모든 스펙트럼 대역의 평균 주파수를 계산했다. 따라서, 각각 LFf , MFf , TLFf , HFf 및 TFf 로 표시된 총 5개의 평균 빈도 값이 있다.
Spectral entropy
스펙트럼 엔트로피 (SE)는 주파수 영역에서 계열의 복잡성을 나타냅니다. 개별 주파수에서 E1, E2, ⋯ , EN 에너지를 갖는 전력 스펙트럼을 고려하면 SE는 다음과 같이 정의된다.

여기서 pi는 Ei가 전체 에너지에서 차지하는 비율을 나타낸다.

평균 빈도와 마찬가지로 이 논문에서는 5개의 SE 값을 계산했으며 각각 LFse , MFse , TLFse , HFse 및 TFse 로 표시된다.
Peak in HF spectral band
HF 스펙트럼 대역의 피크 HF 스펙트럼 대역의 피크는 일반적으로 HR의 호흡 변조를 반영하는 것으로 간주되며 해당 주파수는 대략 호흡수와 같다. 수면 중 호흡의 특성을 특성화하기 위해 이 연구에서 이 피크와 관련된 두 가지 매개변수를 추출했다. HFmaxf는 해당 주파수, HFamp는 정규화된 진폭, 즉 (피크의 진폭) / (HF의 총 전력)이다. HFamp 매개변수는 조사 기간 동안 호흡 주파수의 안정성을 대략적으로 반영할 수 있다.
Fractal dimension
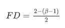
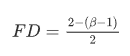
HRV의 프랙탈 성분은 VLF의 PSD에 주로 반영되어 프랙탈 차원 (FD)을 도출할 수 있었다. 첫째, VLF의 PSD는 로그 전력 대 로그 주파수 평면에 플롯되었으며 스펙트럼 지수 β는 플롯 의 선형, 최소 제곱 회귀의 기울기로 추정되었다. 그런 다음 FD는 다음과 같이 결정되었다.
