728x90
반응형
SMALL
Perplexity

정보 이론에서 Perplexity는 확률 분포 또는 확률 모델이 샘플을 얼마나 잘 예측하는지를 측정하는 것이다. 그리고 확률 모델을 비교하는 데 사용할 수 있다. Perplexity가 낮다는 것은 확률 분포가 샘플을 예측하는 데 능숙하다는 것을 나타낸다.
| ▪ 언어 모델에서 Perplexity은 모델의 성능을 측정하는 데 사용 ▪ 외재적 평가 (extirnsic evaluation) : 실제 작업으로 입력에 대한 결과를 확인하는 평가 방식 ▪ 내재적 평가 (intrinsic evaluation) : 모델 내에서 자신의 성능을 수치화하여 결과를 내놓는 평가 방식 ▪ Perplexity는 일반적으로 단어에서 사용 |
범주 분류에서 교차 엔트로피는 경계 엔트로피 기반 라벨의 합산이다. Chain Rule을 적용하면 다음과 같이 표현 가능하다.

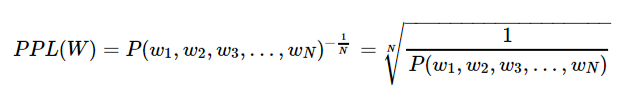
문장의 길이가 길어질수록 확률이 낮아지기 때문에 문장 길이 N 제곱근으로 정규화한다. PPL은 단어의 수로 정규화 (normalization)된 테스트 데이터에 대한 역수이다. PPL을 최소화한다는 것은 문장의 확률을 최대화하는 것과 같은 뜻이다.

언어 모델 (language model)의 성능 평가에서 Loss 대신 사용 가능하다.
728x90
반응형
LIST
'Learning-driven Methodology > DL (Deep Learning)' 카테고리의 다른 글
| [Deep Learning] 1D CNN (0) | 2023.09.27 |
|---|---|
| [Deep Learning] 방사형 기저 함수 신경망 (Radial Basis Function Network) (0) | 2023.07.17 |
| [Deep Learning] 베이지안 하이퍼파라미터 최적화 (Bayesian Hyperparameter Optimization) (0) | 2023.05.26 |
| [Deep Learning] Teacher Forcing (0) | 2022.11.24 |
| [Deep Learning] 활성화 함수 구현 (0) | 2022.11.17 |